![]() |
学校地址:湖南省 长沙市 雨花区 车站南路红花坡路口 |
![]() |
学校地址:湖南省 长沙市 雨花区 车站南路红花坡路口 |
关键词:
1引言
电力系统仿真就是通过建立适当的数学模型来模拟实际电路的一种研究方法,随着电力系统
2EMTP介绍
2.1EMTP的历史与现状
电力系统分析程序EMTP是目前国际通用的一种数字程序。它规模大、功能强, 初由加拿大
EMTP发展经历了几十年时间才日趋完整。首先,1960~1963年H.W.Dommel在德国慕尼黑进行
1969年4月IEEE PASH.W.Dommel的一篇文章标志着EMTP雏形的完全建立,当时有十多种计
欧洲一些公司、大学,在欧洲成立了ATPEMTP(微机版本)一直发展到现在,在世界范围内有
2.2EMTP的模型与算法原理
电力系统含有电机、变压器、输电线路、电缆、断路器、电抗器、电容器组、逆变器组、
以下通过一节点网络的变换模拟过程简单介绍EMTP基本原理。图1为节点1附近的网络详图,

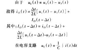
即节点1有如下关系式:


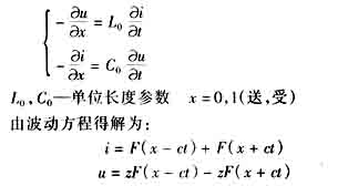
对无损均匀长线,忽略R0、G0时为


如果x-ct=常数,则u+zi=常数
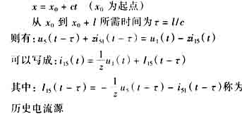
其含义为:如果观察者沿线以速度c运动,则时间为t时它走了:




式中i1(t)也可以是零。
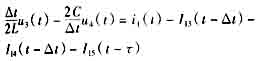
经过上述等值处理,对任何复杂的电网都可以变为只含电源,电阻性元件,可能还有开关
[Y][u(t)]=[i(t)]-[I]
其中:[Y]为节点导纳矩阵;
[u(t)]为n节点电压列向量;
[i(t)]为电流源列向量;
![]()
2.3EMTP的功能
EMTP可用来计算单相或多相网络如:
(1)某一频率电源作用下的线性系统相量值,即可计算电力系统中的工频过电压;稳态值的
(2)程序自动地用步长Δf由fmin到fmax电源频率的
(3)能计算电路网络的暂态过程。
(4)可求解各种非线性网络。
EMTP允许模拟下列网络元件任意组合的网络:

4)多相π—网络,这时前述的标量R、L、C变成矩阵[R]、[L

5)波在换位或不换位的分布参数输电线路上传播的线路,线路可分为无损耗、集中参数
6)具有单值单调增的非线性电阻。
7)具有单值单调增的非线性电感。


9)具有各类型的开关(时控,气控等),可模拟断路器、间隙放电、以及网络联接的变化。
10)电压源和电流源。除了标准函数表达式的电源(正弦脉冲阶、跃斜角等十多种函数)外,
程序的输出电压、电流、功率(能量),以及开关的动作时间。程序的内存单元是可以重新定
由上述可知EMTP是一种进行电力系统仿真的强大工具,其对研究对象的限制微乎其微,可以
3当今流行的电力系统仿真软件
除了以上介绍的EMTP外,当今比较流行的电力系统仿真软件还有德国西门子公司开发的NETO
1)EMTP和NETOMAC都是世界范围通用的电力系统仿真软件,其特点为计算速度快、结果准确
2)PSS/E是一个集成化的交互式软件,主要用于电力系统的潮流计算,界面友好,可与多
3)PSB特点为可以对复杂的控制方法进行仿真,如神经网络、模糊控制、鲁棒特性等,而
4)PSASP特点在于其使用简单,功能简单齐全,但计算模式有局限性,不易进行复杂模型
参考文献
[1][加拿大]Dommel H W著,李永庄,林集明,曾昭华译.电力系统电磁暂
[2]Dufour C,LeHuy H.Highly accurate modeling of frequencydependent balan
[3]Chida T, Sato Y,Sugawara J, et al. Simulation study of unified power flow
[4]Han BM, Karady GG, Park JK, et al. Interaction analysis model for transmi
[5]Tziouvaras DA, McLaren P,Alexander G,et al.Mathematical models for curren
[6]陆超,唐义良,等.仿真软件MATLAB PSB与PSASP模型及仿真分析[J].电力系统自
[7]张扬,陆承宇,杜振东.电力系统仿真软件PSS/E简介[J].华东电力,1997,(1).
|
【javascript:history.back();">返回上页】【javascript:window.print();">打印此页】【查看参与评论】 * ** * ** 湖南省阳光电子技术学校常年开设:手机维修培训、家电维修培训、电工培训、电脑维修培训、焊工培训—常年面向全国招生(http://www.hnygpx.com 报名电话:13807313137)。安置就业。考试合格颁发全国通用权威证书:《★★★★★★★★★★★★》 、《电工证》 、《焊工证》 。采用我校多年来独创的“模块教学法”,理论与实践相结合、原理+图纸+机器三位一体的教学模式,半天理论,半天实践,通俗易懂,确保无任何基础者也能全面掌握维修技能、成为同行业中的佼佼者。工作(一期不会,免费学会为止)。*
栏目导航本类热门阅览相关文章 |